Fall 2014 17b

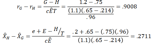
The wiki has the following balance equations:

How do we then end up with these solutions that incorporate both T and Ê? Should I be memorizing these balance equations instead?

Comments

  • Great question. The Fisher text and CAS place students in a somewhat unfortunate situation here as Fisher speaks broadly to the balance equations when the tax multiplier, T, equals 1.000. Further, Fisher doesn't clearly outline how the balance equations differ between the Table M, Table L and Limited Table M scenarios. However, past exam questions which used different syllabus readings did expect students to know and work with the differences. I guess the big unknown is whether the CAS believes it's reasonable for students to make the jump from the Fisher text to the full details below.

    What follows below answers your question and really the things to note are:

    1. The location of the tax multiplier T which is common throughout all the equations.
    2. If you have a per-occurrence limit/deductible and an aggregate limit/deductible then the denominator uses E[A_D] instead of E[A].

    One other point while we're on this topic. If you go back far enough, prior syllabi talked about "maximum premium factors" and "minimum premium factors" which (again) aren't mentioned in the current Fisher text. These refer to G and H respectively divided by the standard premium.

    The balance equations can all be carefully multiplied by 1 in the form of SP/SP. Doing so leaves the LHS unchanged but the RHS is now in terms of expense ratios, max. and min. premium factors etc.

    Note that the expected unlimited loss ratio is E[A]/SP and you should be able to tackle any of these older questions. However, remember that this isn't in the current Fisher text so you may be studying more than you need to.

  • So the wiki has the following two formulas for the Basic Premium of Limited Table M:

    1)

    2)

    Their solution looks like a mix of the two? They have unlimited losses in the "(c-1)E[A]" portion similar to equation (2) instead of equation (1), but they don't have the "k*E[A]" term at the end. So what's going on here?

  • This is an older exam question so was based on a different reading to the current Fisher text. On page 19 of the Fisher text we're told: "basic premium may or may not include a charge for losses in excess of the per-occurrence limit/deductible."

    In the solution to this problem, they are charging all loss adjustment expenses to the basic premium via (c-1)E but are not including a charge for the expected losses in excess of the per-occurrence limit. So you're right, it is a hybrid of the two approaches because you're including all LAE but not part of the charge.

    The caveat shown in the following part of the wiki may help along with a bit of algebra.

    https://battleacts8.ca/8/wiki/index.php?title=Fisher.Visualization#Limited_Table_M_Balance_Equations

Sign In or Register to comment.